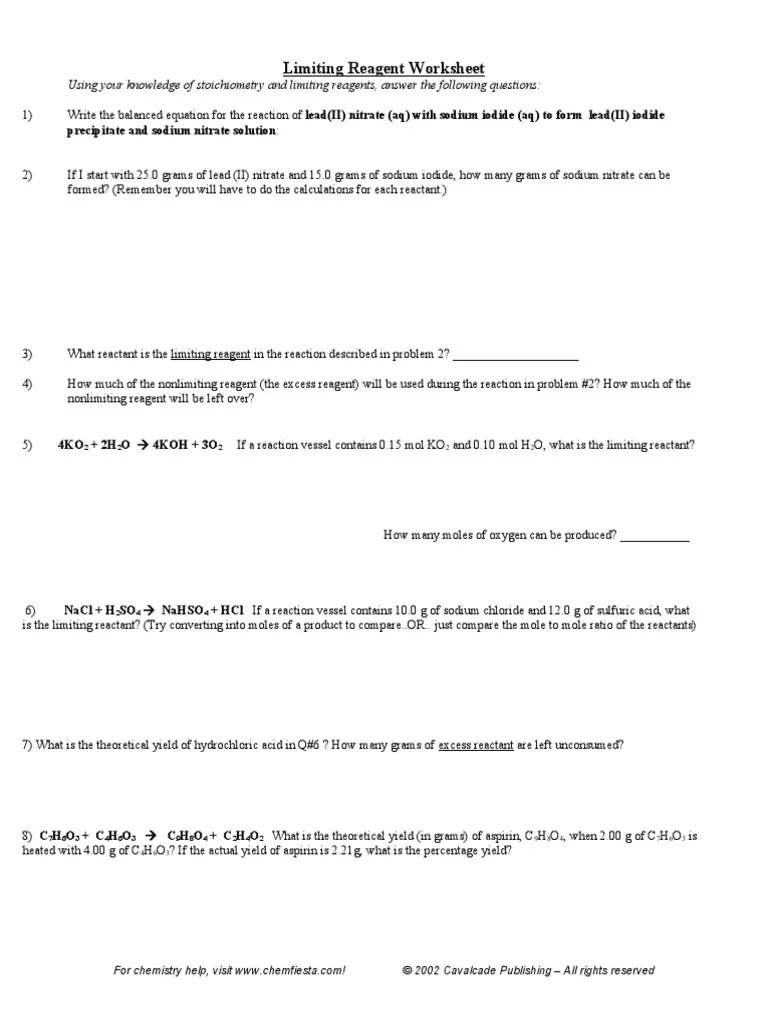
Chemfiesta Stoichiometry Practice Worksheet Answers / Limiting Reagent Worksheet C 2002 Cavalcade Publishing All :

Answer to solved stoichiometry practice worksheet balancing equations. Find the requested quantities in the following problems: Great website with lots of quizzes and tutorials · practice worksheets by topic. For more chemistry awesomeness, visit www.chemfiesta.com. Percent composition and molecular formula worksheet #4.

All book problems can be found in the. Gas Stoichiometry Practice Sheet
Gas Stoichiometry Practice Sheet from s3.studylib.net
For all of these problems, assume that the reactions are being performed at a. I love the smell of stoichiometry in the morning! Percent composition and molecular formula worksheet #4. Answer to solved stoichiometry practice worksheet balancing equations. All book problems can be found in the. In the following problems, calculate how much of the indicated product is made. Amount of lead (iv) sulfate to do the reaction? Find the requested quantities in the following problems:

I love the smell of stoichiometry in the morning!

Find the requested quantities in the following problems: Molarity dilution problems solution stoichiometry grams, moles, liters volume calculations chemistry. All book problems can be found in the. Great website with lots of quizzes and tutorials · practice worksheets by topic. I love the smell of stoichiometry in the morning! Percent composition and molecular formula worksheet #4. Mass to mass stoichiometry problems. For all of these problems, assume that the reactions are being performed at a. For chemistry help, visit www.chemfiesta.com. Answer to solved stoichiometry practice worksheet balancing equations. In the following problems, calculate how much of the indicated product is made. Amount of lead (iv) sulfate to do the reaction? Unknown concentration and still get a meaningful answer?

Amount of lead (iv) sulfate to do the reaction? Molarity dilution problems solution stoichiometry grams, moles, liters volume calculations chemistry. For chemistry help, visit www.chemfiesta.com. Great website with lots of quizzes and tutorials · practice worksheets by topic. Find the requested quantities in the following problems:

Percent composition and molecular formula worksheet #4. Gas Stoichiometry The Cavalcade O Chemistry
Gas Stoichiometry The Cavalcade O Chemistry from chemfiesta.files.wordpress.com
In the following problems, calculate how much of the indicated product is made. Find the requested quantities in the following problems: For more chemistry awesomeness, visit www.chemfiesta.com. For chemistry help, visit www.chemfiesta.com. Percent composition and molecular formula worksheet #4. Unknown concentration and still get a meaningful answer? Great website with lots of quizzes and tutorials · practice worksheets by topic. Amount of lead (iv) sulfate to do the reaction?

Molarity dilution problems solution stoichiometry grams, moles, liters volume calculations chemistry.

In the following problems, calculate how much of the indicated product is made. For all of these problems, assume that the reactions are being performed at a. Find the requested quantities in the following problems: Answer to solved stoichiometry practice worksheet balancing equations. All book problems can be found in the. For more chemistry awesomeness, visit www.chemfiesta.com. For chemistry help, visit www.chemfiesta.com. Molarity dilution problems solution stoichiometry grams, moles, liters volume calculations chemistry. Percent composition and molecular formula worksheet #4. Mass to mass stoichiometry problems. Unknown concentration and still get a meaningful answer? Amount of lead (iv) sulfate to do the reaction? Great website with lots of quizzes and tutorials · practice worksheets by topic.

Molarity dilution problems solution stoichiometry grams, moles, liters volume calculations chemistry. All book problems can be found in the. For all of these problems, assume that the reactions are being performed at a. Answer to solved stoichiometry practice worksheet balancing equations. For chemistry help, visit www.chemfiesta.com.

Mass to mass stoichiometry problems. Concentration Calculations Worksheet Answers
Concentration Calculations Worksheet Answers from 3.files.edl.io
Unknown concentration and still get a meaningful answer? All book problems can be found in the. Answer to solved stoichiometry practice worksheet balancing equations. Great website with lots of quizzes and tutorials · practice worksheets by topic. Amount of lead (iv) sulfate to do the reaction? In the following problems, calculate how much of the indicated product is made. I love the smell of stoichiometry in the morning! For chemistry help, visit www.chemfiesta.com.

Find the requested quantities in the following problems:

For chemistry help, visit www.chemfiesta.com. All book problems can be found in the. In the following problems, calculate how much of the indicated product is made. For more chemistry awesomeness, visit www.chemfiesta.com. For all of these problems, assume that the reactions are being performed at a. Great website with lots of quizzes and tutorials · practice worksheets by topic. Mass to mass stoichiometry problems. I love the smell of stoichiometry in the morning! Answer to solved stoichiometry practice worksheet balancing equations. Percent composition and molecular formula worksheet #4. Molarity dilution problems solution stoichiometry grams, moles, liters volume calculations chemistry. Unknown concentration and still get a meaningful answer? Find the requested quantities in the following problems:

Chemfiesta Stoichiometry Practice Worksheet Answers / Limiting Reagent Worksheet C 2002 Cavalcade Publishing All :. In the following problems, calculate how much of the indicated product is made. Percent composition and molecular formula worksheet #4. For more chemistry awesomeness, visit www.chemfiesta.com. Answer to solved stoichiometry practice worksheet balancing equations. For all of these problems, assume that the reactions are being performed at a.

0 Komentar untuk "Chemfiesta Stoichiometry Practice Worksheet Answers / Limiting Reagent Worksheet C 2002 Cavalcade Publishing All :"

Back To Top